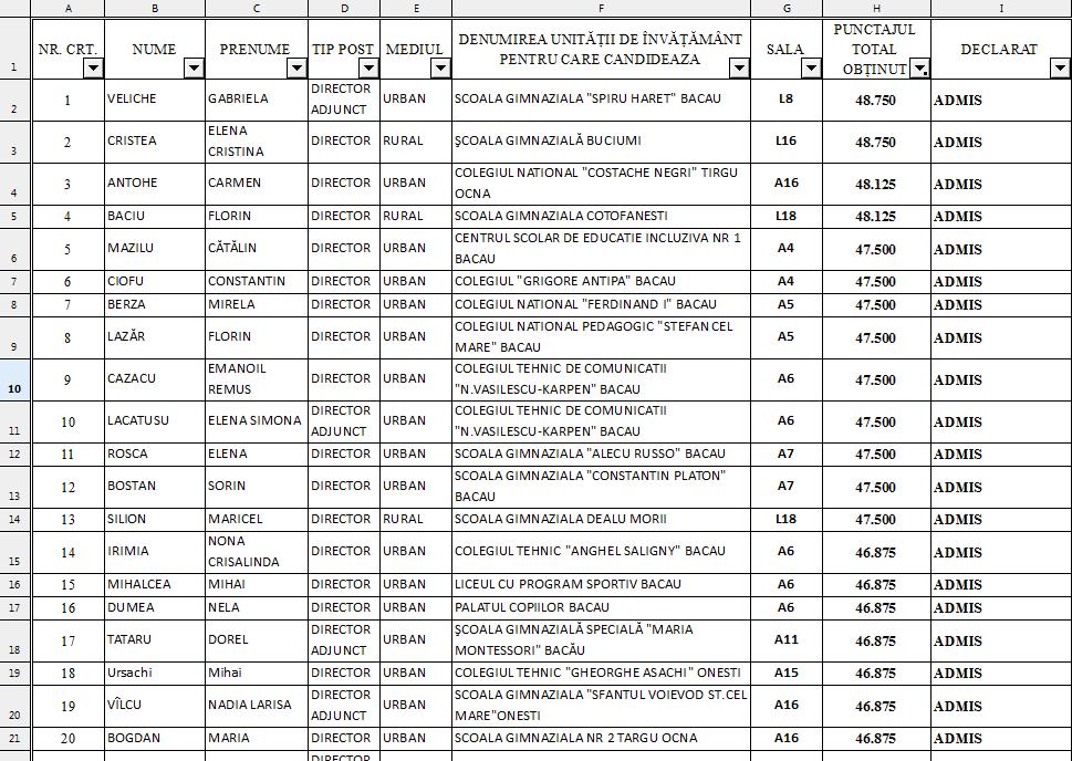
Pentru a trece in etapa a doua a concursului pentru postul de director, candidatii trebuiau sa obtina minim 35 de punct din 50 la concursul scris.
Cei care au obtinut punctajul de trecere vor participa la interviuri. Rezultatele finale vor fi facute publice in prima parte a lunii decembrie.






















